○稲美町工場立地法地域準則条例

令和4年3月25日

条例第1号

(趣旨)

第1条 この条例は、工場立地法(昭和34年法律第24号。以下「法」という。)第4条の2第1項の規定に基づき、工場立地に関する準則(平成10年大蔵省、厚生省、農林水産省、通商産業省、運輸省告示第1号。以下「法準則」という。)に代えて適用すべき準則を定めるものとする。

(定義)

第2条 この条例において使用する用語の意義は、法において使用する用語の例による。

(区域並びに緑地及び環境施設の面積の敷地面積に対する割合)

第3条 法第4条の2第1項に規定する区域並びに当該区域における緑地の面積の敷地面積に対する割合(以下「緑地面積率」という。)及び環境施設の面積の敷地面積に対する割合(以下「環境施設面積率」という。)は、次の表のとおりとする。

区域

緑地面積率

環境施設面積率

都市計画法(昭和43年法律第100号)第8条第1項第1号の準工業地域(以下「甲区域」という。)

100分の10以上

100分の15以上

都市計画法第8条第1項第1号の工業地域及び工業専用地域並びに同法第7条第3項の市街化調整区域(以下「乙区域」という。)

100分の5以上

100分の10以上

(緑地が他の施設と重複する場合の緑地面積率の算定方法)

第4条 工場立地法施行規則(昭和49年大蔵省、厚生省、農林省、通商産業省、運輸省令第1号。以下「省令」という。)第4条に規定する緑地以外の環境施設以外の施設又は同条第1項トに掲げる施設と重複する土地及び省令第3条に規定する建築物屋上等緑化施設については、特定工場の敷地が甲区域又は乙区域に存する場合にあっては敷地面積に前条の表に定める区域の区分に従い当該区域における緑地面積率の下限値を乗じて得た面積の、特定工場の敷地が甲区域又は乙区域のいずれにも属さない区域(以下「その他区域」という。)に存する場合にあっては敷地面積に法準則第2条本文に定める当該区域における緑地面積率の下限値を乗じて得た面積のそれぞれ100分の50の割合を超えて緑地面積率の算定に用いる緑地の面積に算入することができない。

(敷地が2以上の区域にわたる場合の適用)

第5条 特定工場の敷地が甲区域、乙区域又はその他区域のうち、2以上の区域にわたる場合における第3条の規定の適用については、当該敷地のそれぞれの区域に存する部分の面積の敷地面積に対する割合(以下「敷地割合」という。)につき、甲区域又は乙区域の敷地割合が最も高いときは当該敷地割合が最も高い区域に係る同条の表の規定を当該特定工場の敷地の全部に適用し、その他区域の敷地割合が最も高いときは同表の規定を当該特定工場の敷地の全部に適用しない。

(施行期日)

1 この条例は、令和4年4月1日から施行する。

(経過措置)

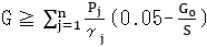
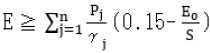
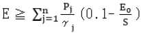
2 昭和49年6月28日以前に設置されている特定工場又は設置のための工事が行われている特定工場(以下「既存工場等」という。)において、生産施設の面積変更(生産施設の面積減少を除く。以下同じ。)が行われるときの第3条の規定に適合する緑地及び環境施設の面積の算定は、次の表に規定する式によって行うものとする。

既存工場等が存する区域

当該生産施設の面積の変更に伴い設置する緑地の面積

当該生産施設の面積の変更に伴い設置する環境施設の面積

甲区域

画像ただし、

画像のときはG≧0.1S-G1とし、0.1S-G1≦0のときはG≧0とする。

画像ただし、

画像のときはE≧0.15S-E1とし、0.15S-E1≦0のときはE≧0とする。

乙区域

画像ただし、

画像のときはG≧0.05S-G1とし、0.05S-G1≦0のときはG≧0とする。

画像ただし、

画像のときはE≧0.1S-E1とし、0.1S-E1≦0のときはE≧0とする。

備考 この表における記号は、それぞれ次の数値を表すものとする。

G 当該変更に伴い設置する緑地の面積

n 当該既存工場等が属する業種の個数

Pj 当該変更に係る生産施設で法準則別表第1の上欄に掲げる業種のうちj業種に属するものの面積

rj 当該既存工場等の生産施設のうち、j業種に相当する施設が属する法準則別表第1の上欄に掲げる業種についての同表の下欄に掲げる割合

G0 当該変更に係る届出前に設置されている緑地(当該届出前に届け出られた緑地の面積の変更に係るものを含む。以下同じ。)の面積の合計のうち、昭和49年6月29日以後の当該変更以外の生産施設の面積の変更に伴い最低限設置することが必要な緑地の面積の合計を超える面積

S 当該既存工場等の敷地面積

G1 当該変更に係る届出前に設置されている緑地の面積の合計

E 当該変更に伴い設置する環境施設の面積

E0 当該変更に係る届出前に設置されている環境施設(当該届出前に届け出られた環境施設の面積の変更に係るものを含む。以下同じ。)の面積の合計のうち、昭和49年6月29日以後の当該変更以外の生産施設の面積の変更に伴い最低限設置することが必要な環境施設の面積の合計を超える面積

E1 当該変更に係る届出前に設置されている環境施設の面積の合計

稲美町工場立地法地域準則条例

令和4年3月25日 条例第1号

(令和4年4月1日施行)